きちんとリスクとベネフィットを勘案して抗血栓薬の治療を検討する必要があります。CMBs(cerebral microbleeds)があるからといって一律に「怖がって」不必要に抗血栓薬を控えることは避けたいので、データを調べます。
- 1 脳梗塞(TIA含む)CMBs合併と抗血小板薬による脳梗塞,脳出血発症リスク
- 2 急性期脳梗塞のDAPT vs SAPTの違い
- 2.1 “Dual antiplatelet therapy in acute ischaemic stroke with or without cerebral microbleeds” Eur J Neurosci. 2023;57:1197–1207.
- 2.2 “Comparative effectiveness of dual to single antiplatelet therapy after one year versus seven years in patients with acute ischemic stroke combined with cerebral microbleeds” Journal of Clinical Neuroscience 2023;112:73–79.
- 3 管理人の私見
脳梗塞(TIA含む)CMBs合併と抗血小板薬による脳梗塞,脳出血発症リスク
“Antiplatelet Treatment After Transient Ischemic Attack and Ischemic Stroke in Patients With Cerebral Microbleeds in 2 Large Cohorts and an Updated Systematic Review” Stroke. 2018;49:1434-1442.
目的:TIAまたは脳梗塞発症(CMBs有する)抗血小板薬服用中の患者の、その後の脳血管障害リスクの検討
デザイン:前向きコホート研究+systematic review
DAPT投与:OXVASCコホート 25%, HKUコホート14%
病型の内訳:記載なし
CMBsの数によるリスクの違い(5年)
| CMBの負担 (個数) | 虚血性脳卒中の5年リスク | 脳内出血 (ICH) の5年リスク |
| 0個 (なし) | 8.7% | 0.6% |
| 1個 | 14.1% | 0.9% |
| 2〜4個 | 13.7% | 3.7% |
| ≥5個 | 17.4% | 10.2% |
| 全体的な傾向 | (P trend = 0.013) | (P trend < 0.0001) |
CMBs≧5個の患者におけるリスク
| 期間 | 虚血イベント (虚血性脳卒中+冠動脈イベント) のリスク | 出血イベント (ICH+主要な頭蓋外出血) のリスク | 臨床的な示唆 |
| 最初の1年間 | 11.6% | 3.9% | 虚血リスクが出血リスクを上回り、抗血小板薬の利益が大きい |
| 1〜5年目 | 12.0% | 11.2% | 出血リスクが虚血リスクとほぼ一致し、利益が相殺される可能性がある |

まとめ
・CMBが≥5個ある患者でも、最初の1年間は虚血イベントの再発リスクが非常に高い
・1年後以降はICHのリスクが急増し、虚血イベントに対する利益を上回る可能性がある
急性期脳梗塞のDAPT vs SAPTの違い
“Dual antiplatelet therapy in acute ischaemic stroke with or without cerebral microbleeds” Eur J Neurosci. 2023;57:1197–1207.
目的:短期的なDAPTとSAPTが脳血管障害の発症どのような影響を与えるか?(特にCMBsの有無との関連)
結果:複合エンドポイント=脳梗塞+脳出血,脳梗塞,脳出血の発症率を検討
・デザイン:後ろ向きコホート研究
・DAPT投与期間:ガイドライン通り最低3週間⇒その後の投与期間は医師にゆだねられている(平均投与期間などは記載なし)
・CMBsの平均または中央値:記載なし
・追跡期間:2-7年(中央値や平均記載なし)
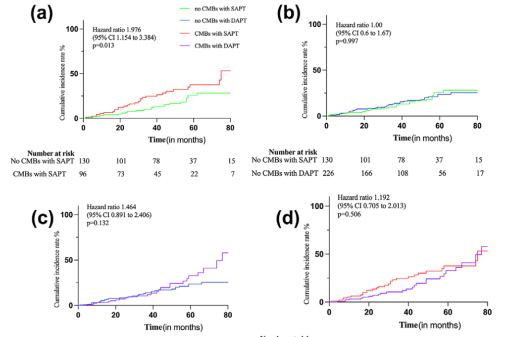
CMBsの有無による比較
| アウトカム | No CMBs群 (n=356) | CMBs群 (n=225) |
| 複合アウトカム (再発性IS + ICH) | 17.42% | 25.33%* |
| 再発性虚血性脳卒中 (IS) | 15.17% | 20.00%* |
| 脳内出血 (ICH) | 2.81% | 5.33% |
DAPT vs SAPTの検討(CMBsの有無を合わせて)
| グループ (総数) | 複合アウトカム (再発性IS + ICH) | 再発性虚血性脳卒中 (IS) | 脳内出血 (ICH) |
| CMBs + DAPT (n=129) | 20.93% | 15.50% | 5.43%*† |
| CMBs + SAPT (n=96) | 31.25%*‡ | 26.04%*‡ | 5.21% |
| No CMBs + DAPT (n=226) | 16.81% | 15.04% | 1.77% |
| No CMBs + SAPT (n=130) | 18.46% | 15.38% | 4.62% |
* 統計的に有意な差(P < 0.05)が認められた箇所。
† DAPTを受けている患者群内の比較において、CMBs群(5.43%)はNo CMBs群(1.77%)と比較してICHのリスクが有意に高かった(P = 0.031)。
‡ SAPTを受けている患者群内の比較において、CMBs群(31.25%)はNo CMBs群(18.46%)と比較して複合アウトカムのリスクが有意に高かった(P = 0.013)。また、CMBs群(26.04%)はNo CMBs群(15.38%)と比較して再発性ISのリスクが有意に高かった(P = 0.019
その他の比較(有意差なし):
• CMBs群内(DAPT vs. SAPT)では、複合アウトカム、再発性IS、ICHのいずれにおいても有意差は認められませんでした(P = 0.506, P = 0.251, P = 0.639)。
• No CMBs群内(DAPT vs. SAPT)でも、複合アウトカム、再発性IS、ICHのいずれにおいても有意差は認められませんでした(P = 0.997, P = 0.731, P = 0.196)。
複合エンドポイント

下図は上図を項目ごとにとりだしたもの

まとめ
ポイント1CMBsがある場合のDAPT vs SAPT:DAPTとSAPTでいずれにおいても有意差なし
ポイント2DAPT投与患者での CMBsあり vs なし:ありの方が脳出血リスク有意に上昇 5.43% vs 1.77% HR=3.898
“Comparative effectiveness of dual to single antiplatelet therapy after one year versus seven years in patients with acute ischemic stroke combined with cerebral microbleeds” Journal of Clinical Neuroscience 2023;112:73–79.
目的:急性期脳梗塞(CMBs合併)におけるDAPTとSAPTでの長期的な脳卒中リスクの検討
デザイン:後ろ向きコホート研究、中国単一施設での検討
患者背景の違い(Limitationとして重要):DAPT群は喫煙者とアルコール乱用者,頸動脈または頭蓋内血管狭窄≧50%が有意に多い,SAPT群はCMBs≧10個以上が有意に多い DAPT 22.7% vs SAPT 39.3%
結果まとめ
| ウトカム項目 | 追跡期間 | DAPT群 (n=154) | SAPT群 (n=125) | P値 (Log-Rank) |
| 主要評価項目 (全死因死亡、再発性IS、ICHの複合) | 0〜7年 | 22.08% (34例) | 28.8% (36例) | 0.739 |
| 再発性ISおよびICHの複合 | 0〜7年 | 14.94% (23例) | 18.4% (23例) | 0.867 |
| 再発性虚血性脳卒中 (IS) | 0〜7年 | 12.99% (20例) | 16% (20例) | 0.895 |
| 脳内出血 (ICH) | 0〜7年 | 1.95% (3例) | 2.4% (3例) | 0.981 |
| 主要評価項目 (全死因死亡、再発性IS、ICHの複合) | 0〜1年 | 3.9% (6例) | 7.2% (9例) | 0.123 |
| 再発性ISおよびICHの複合 | 0〜1年 | 3.25% (5例) | 7.2% (9例) | 0.0752 |
| 再発性虚血性脳卒中 (IS) | 0〜1年 | 1.95% (3例) | 6.4% (8例) | 0.0355 |
| 脳内出血 (ICH) | 0〜1年 | 1.6% (2例) | 1.6% (2例) | / |
| 主要評価項目 (全死因死亡、再発性IS、ICHの複合) | >1年〜7年 | 18.18% (28例) | 21.6% (27例) | 0.805 |
| 再発性ISおよびICHの複合 | >1年〜7年 | 11.69% (18例) | 11.2% (14例) | 0.433 |
| 再発性虚血性脳卒中 (IS) | >1年〜7年 | 11.04% (17例) | 9.6% (12例) | 0.377 |
| 脳内出血 (ICH) | >1年〜7年 | 0.8% (1例) | 0.8% (1例) | / |
1. 長期予後(0〜7年):追跡期間全体では、主要評価項目(全死因死亡、再発性IS、ICHの複合)およびその他の評価項目の発生率について、DAPT群とSAPT群の間に統計的に有意な差は見られませんでした(P > 0.05)。
2. 短期予後(0〜1年):急性IS発症後の最初の1年間において、SAPT群はDAPT群と比較して再発性ISの発生率が有意に高かったです(SAPT 6.4% 対 DAPT 1.95%、P = 0.0355)。
3. 出血リスク:DAPT群とSAPT群の間で、ICH(脳内出血)の発生率に大きな違いはありませんでした(0〜7年でDAPT 1.95%、SAPT 2.4%)。また、DAPTがSAPTと比較してCMBs患者のICHリスクを増加させるという明確な証拠はこの研究では示されませんでした。
4. 長期効果の消失:最初の1年以降(1〜7年)では、再発性ISのリスクはDAPT群とSAPT群の間で有意差はありませんでした(P = 0.377)。